Ana Sayfa Genel ARABAYI MÜKEMMEL PARK ETMENİN YOLLARI

ARABAYI MÜKEMMEL PARK ETMENİN YOLLARI

619
0

    İnsanların genel sıkıntılarından biri araba park etmektir.Trafikte araç kullanan kişilerin en büyük sorunlarından biri de iki araç arasına park etmektir.Ehliyet sınavları için de doğru ve iyi şekilde aracı park etmek gerekmektedir.Ayrıca görme engellilerin ve bebek arabası kullanan bireylerin  yanlış parklar neticesinde ciddi sıkıntılar yaşadıkları gözlemlenmektedir.Bu yüzden de doğru araba park etmek günlük hayatımız için çok önemlidir.

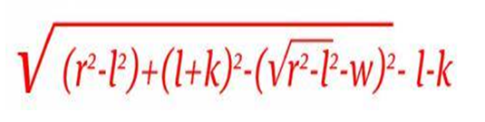
    London’s Royal Holloway College Üniversitesi’nden matematik profesörü Simon Blackburn, geliştirdiği ‘park etme formülü’ ile büyük beceri isteyen paralel parkı bile çocuk oyuncağı haline getirdi. Formül, aracın dönüş çapının yarıçapı (r) ile aracın ön ve arka tekerlekleri arasındaki uzaklığın (l) kullanılmasıyla başlıyor. Sonra aracın burun uzunluğu (k) ile bitişik aracın genişliği (w) hesaplanıyor ve aracı park etmek için gerekli olan boşluk hesaplanabiliyor.

Matematik İle Araç Park Etmenin Formülü
r: Aracınızın dönüş alanı üzerinden çizilen bir yarıçap
l: Tekerleklerin açıklığı
k: Aracın tekerlekleri ile ortası arasındaki mesafe
w: Arkanızda olan aracın genişliği

Yapmanız gerekenler aslında oldukça basit:
1.Arkayı görmenizi sağlayan aynayı arkadaki aracın kaputuna doğru sabitleyin.
2. Otomobillerin arasında uygun bir boşluk olduğuna inandıktan sonra geri geri gelmeye başlayın.
3. Yanınızdaki araçla birlikte lastiklerinizin hizalı olmasına dikkat edin.
4. Ve işlem bitti güvenle park edebilirsiniz.
Şimdi bu değişkenleri bir formülün içine entegre etmemiz gerekli ki siz de aracınızın o yere sığıp sığmayacağını hesap edersiniz.

Araç park etmenin formülü Londra Üniversitesi’nde hoca olan Simon Blackburn tarafından ortaya atıldı. Stanford’ta Matematik hocası olan Keith Devlin, NPR’den Audie Cornish’e “basit matematiğin zekice bir uygulaması ” dedi.
Devlin’e göreyse en karmaşık kısmı eski dostumuz olan Pisagor Teoremi. Lise matematiğinden hatırlayacağınız gibi Pisagor Teoremi a²+b²=c²’dir.

Devlin’in formülü aracınızın uzunluğundan ziyade ne kadar fazladan yere sahip olduğunuzu, aracınızı sağa sola hareket ettirmeden rahat bir şekilde nasıl park edeceğinizi söylüyor. Buna mükemmel paralel park etme adını veriyor.
Blackburn’ün formülü aracınızın dönme kapasitesinin yay şeklini tam bir daire üzerinde çizerek, sonra da o dairenin merkezinden Pisagor’un sevdiği dik üçgenler çıkararak kullanılıyor.
Şöyle devam ediyor: “Matematik insanların yaparak ve yaptıkça uzmanlaştığı alanlardaki detaylarda size farklı bir anlayış sunuyor.”
“Aslında bir şeyler üzerindeyken ister dışarda olsun ister aracın içinde bu tarz şeyleri yaparken işinde iyi olan birer matematikçi oluyoruz. Ama buna matematik demiyoruz ve sadece arabasını park edebiliyor diye de insanları matematik dersinden geçirmiyoruz. “ diyor Prof.Devlin.
KAYNAK:
http://www.matematiksel.org/matematik-ile-arac-park-etmenin-formulu 

Hazırlayan:Büşra TOPAKTAŞ

1611210051


MAT 2

CEVAP VER

Lütfen yorumunuzu giriniz!
Lütfen isminizi buraya giriniz